Упр.27.6 ГДЗ Мерзляк 11 класс Углубленный уровень (Алгебра)
Решение #1

Рассмотрим вариант решения задания из учебника Мерзляк, Номировский, Поляков 11 класс, Вентана-Граф, Просвещение:
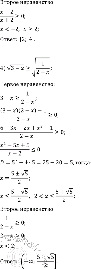
27.6. Решите неравенство:
1) v(x^2-7x+5)>v(3x-4); 3) v((2x-3)/(4x-1))>v((x-2)/(x+2));
2) v(x^2+5x)v(1/(2-x)).
*размещая тексты в комментариях ниже, вы автоматически соглашаетесь с пользовательским соглашением