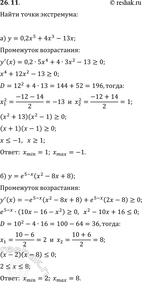
Упр.26.11 ГДЗ Мордкович Семенов 11 класс (Алгебра)
Решение #1

Рассмотрим вариант решения задания из учебника Мордкович, Семенов, Александрова 11 класс, Просвещение:
26.11. Найдите точки экстремума функции:
а) y=0,2x^5+4x^3-13x; г) y=(-1/3)x^3+x^2+3x-11;
б) y=e^(5-x)(x^2-8x+8); д) y=e^(x-1)(x^2-3x+3);
в) y=x^2-3x+3ln(x+1); е) y=x^2+5x+14ln(3-x).
*размещая тексты в комментариях ниже, вы автоматически соглашаетесь с пользовательским соглашением