Упр.15.5 ГДЗ Мерзляк 11 класс Углубленный уровень (Алгебра)
Решение #1

Рассмотрим вариант решения задания из учебника Мерзляк, Номировский, Поляков 11 класс, Вентана-Граф, Просвещение:
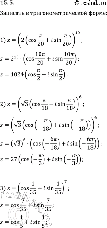
15.5. Запишите в тригонометрической форме число z, если:
1) z=(2(cos(п/20)+isin(п/20)))^10; 3) z=(cos(1/35)+isin(1/35))^7.
2) z=(v3(cos(п/18)-isin(п/18)))^6;
*размещая тексты в комментариях ниже, вы автоматически соглашаетесь с пользовательским соглашением